다시 정리하는 클로저
정리하게 된 계기
최근에 네이버 웹툰 체험형 인턴 면접을 보았다.
첫 면접이었고, 긴장해서 그런가.. CS와 관련된 질문에서 어버버하면서 대답을 했었다.
그 중 하나가 클로저에 대한 질문이었다.
그래서, 집에 와서 생각을 해보니 클로저에 대한 오개념을 대답했음을 알았다.
두 번 다시 같은 실수를 하지 않도록 클로저에 대해 다시 정리하고자 한다.
클로저(Closure)의 어원
영어에서 클로저(Closure)라는 말은 정말 다양하게 쓰인다.
네이버 사전에서 검색을 하면 다음과 같은 뜻이 있다.
- 명사 (공장, 학교, 병원 등의 영구적인) 폐쇄(되는 상황)
- 명사 (도로·교량의 일시적) 폐쇄
- 명사 (힘든 일의) 종료[종결]
Close의 명사형으로써 폐쇄, 종료, 끝, 닫힘 등의 의미로 쓰인다.
다만, 이렇게 사전적 의미로만 정의하면 혼란이 생기기 쉽다.
JS에서 클로저의 어원은 위에 기반한 것이 아니라, 수학과 컴퓨터 과학에서 폐합을 의미하는 Closure에서 유래되었기 때문이다.
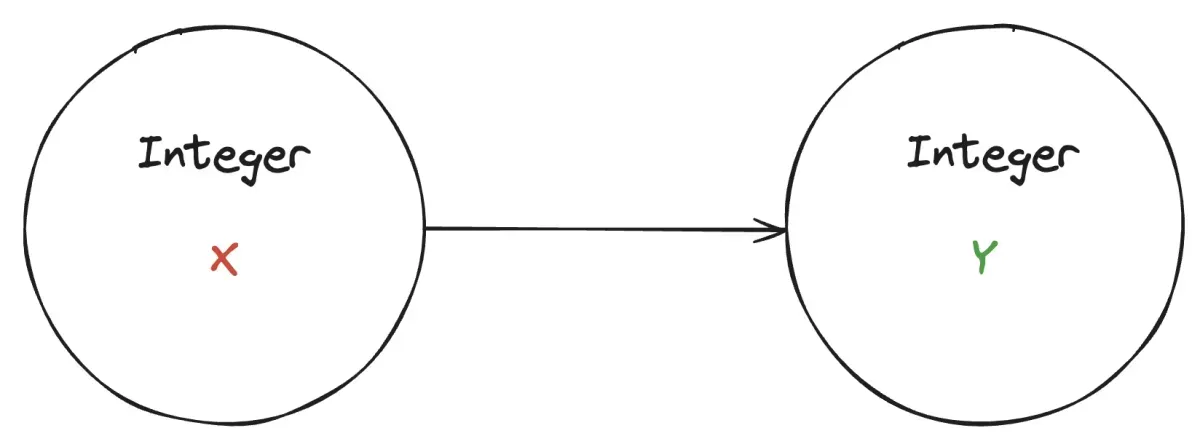
폐합은 보통 ~에 닫혀있다.이라는 표현으로 많이 쓰인다.
예를 들어서, 정수 집합은 덧셈 연산에 대해 닫혀있다. 혹은 정수 집합은 덧셈 연산에 대해 폐합을 가진다.과 같은 표현으로 쓰인다.


정수(Integer) 연산의 경우, 사칙연산(+, -, *, /)을 해도 그 결과 값은 정수 집합에 다시 해당한다.
어떤 행위의 결과가 자신의 집합으로 귀결되는 것을 Closure라고 한다.
JS에서 클로저는 어떻게 표현되는가?

JS에서 클로저를 위와 같이 표현할 수 있다.
outer함수 내부에 있는 inner함수가 outer함수 외부에서 outer함수 범위(scope) 안에 있는 변수 a를 참조하는 것이다.
클로저에 대한 다양한 표현
클로저(Closure)는 자바스크립트의 고유 개념이 아니다.
함수형 프로그래밍 언어에서 등장하는 보편적인 특성이다.

러스트 공식 가이드에서 캡쳐한 내용이다.
러스트에서도 보다시피 클로저를 다루는 것을 볼 수 있다.
자바스크립트의 고유 개념이 아니다보니, ECMAScript 명세에서도 클로저의 정의를 다루고 있지 않다.
굳이 이것 때문은 아니지만, 다양한 문헌에서 클로저를 제각각 정의하고 있다.
- 자신을 내포하는 함수의 컨텍스트에 접근할 수 있는 함수
- 더글라스 크록포드, <<자바스크립트 핵심 가이드>>, 한빛미디어(p68) - 함수가 특정 스코프에 접근할 수 있도록 의도적으로 그 스코프에서 정의하는 것
- 에단 브라운, <<러닝 자바스크립트>>, 한빛미디어(p196) - 함수를 선언할 때 만들어지는 유효범위가 사라진 후에도 호출할 수 있는 함수
- 존 레식, <<자바스크립트 닌자 비급>>, 인사이트(p116) - 이미 생명 주기상 끝난 외부 함수의 변수를 참조하는 함수
- 송형주 고현준, <<인사이드 자바스크립트>>, 한빛미디어(p157) - 자유변수가 있는 함수와 자유변수를 알 수 있는 환경의 결합
- 에릭 프리먼, <<Head First Javascript Programming>>, 한빛미디어(p534) - 로컬 변수를 참조하고 있는 함수 내의 함수
- 야마다 요시히로, <<자바스크립트 마스터북>>, 제이펍(p180) - 자신이 생성될 때의 스코프에서 알 수 있었던 변수들 중 언젠가 자신이 실행될 때 사용할 변수들만을 기억하여 유지시키는 함수
- 유인동, <<함수형 자바스크립트 프로그래밍>>, 인사이트(p31)
MDN의 정의를 통해 살펴보기
"A closure is the combination of a function and the lexical environment within which that function was declared."
"클로저는 함수와 그 함수가 선언될 당시의 lexical environment의 상호관계에 따른 현상"
MDN에서는 클로저를 위와 같이 정의하고 있다.
여기에서 lexical environment라고 함은 실행 컨텍스트의 구성 요소 중 하나인 outerEnvironmentReference를 말한다.
LexicalEnvironment의 environmentRecord와 outerEnvironmentReference에 의해 변수의 유효범위인 스코프가 결정되고 스코프 체인이 가능해진다.
어떤 컨텍스트 A에서 선언한 내부함수 B의 실행 컨텍스트가 활성화 된 시점을 생각하자.
위와 같은 코드가 있을 때, 함수 A에서 변수 b에 접근하지 못핮미나, 함수 B에서 변수 a에 접근할 수 있다.
이는 함수 B의 outerEnvironmentReference가 함수 A를 참조하고 있기 때문이다.
이게 곧 상호관계(combination)의 의미이다.
다만, 내부의 함수 B가 함수 A의 LexicalEnvironment를 언제나 참조하는 것은 아니다.
내부 함수에서 외부 변수를 참조하지 않는다면 combination이라고 할 수 없다.
내부함수에서 외부 변수를 참조하는 경우에 한해서만 combination, 즉 선언될 당시의 lexicalEnvironoment와의 상호 관계가 의미있다.

다시 위의 그림을 보자.
지금까지 파악한 내용에 따르면, 클로저(Closure)란 "어떤 함수에서 선언한 변수를 참조하는 내부 함수에서만 발생하는 현상"이라고 볼 수 있다.
코드를 통해 살펴보기
코드를 통해 좀 더 살펴보자.
일반적인 상황에서의 콜스택 흐름
4번째 줄에 있는 console.log(++a);의 결과인 2가 최종적으로 출력된다.
outer함수의 실행 컨텍스트가 종료되면 LexicalEnvironment에 저장된 식별자들(a, inner)에 대한 참조를 지운다.
이에 따라, 각 주소에 저장되어 있던 값들은 자신을 참조하는 변수가 하나도 없게 되므로 가비지 컬렉터의 수집 대상이 된다.

VariableEnvrionment 및 ThisBinding은 생략한 콜스택 및 실행 컨텍스트를 도식화한 그림이다.
일반적인 함수 내부에서의 동작이며, 별 다른 특별한 현상은 보이지 않는다.
클로저가 발생하는 상황에서의 콜스택 흐름
6번째 줄에서 inner 함수를 실행한 결과를 리턴하고 있다.
결과적으로 outer 함수의 실행 컨텍스트가 종료된 시점에서는 a 변수를 참조하는 대상이 없어진다.
앞선 예제와 마찬가지로 a, inner 변수의 값들은 언젠가 가비지 컬렉터에 의해 소멸한다.
지금까지는 outer 함수의 실행 컨텍스트가 종료되기 이전에 inner 함수의 실행 컨텍스트가 종료된다.
이에 따라, 별도로 inner 함수를 호출할 수 없다.
inner 함수의 실행 컨텍스트의 environmentRecord에는 수집할 정보가 없다.
outer environmentReference에는 inner 함수가 선언된 위치의 LexicalEnvironment가 참조 복사된다.
inner 함수는 outer 함수 내부에서 선언되었으므로, outer 함수의 LexicalEnvironment가 담긴다.
스코프 체이닝(Scope Chaining)에 따라서 outer 함수에서 선언한 변수 a에 접근해서 1만큼 증가시킨 후 그 값인 2를 반환하고, inner 함수의 컨텍스트가 종료된다.
10번째 줄도 마찬가지 방식으로 3을 반환한다.
가비지 컬렉터의 원리
가비지 컬렉터는 어떤 값을 참조하는 변수가 하나라도 있다면 그 값은 수집 대상에 포함시키지 않는다.
inner 함수의 실행 컨텍스트가 활성화되면 outerEnvironmentReference가 outer 함수의 LexicalEnvrionment를 필요로 하기에 수집 대상에서 제외된다.
그 덕분에 inner 함수가 변수 a에 접근할 수 있다.
콜스택 흐름을 그림으로 이해하기

정리
앞서서 클로저는 어떤 함수에서 선언한 변수를 참조하는 내부함수에서만 발생하는 현상이라고 했다.
현상이라는 것을 잊지말자. 클로져는 함수가 아니다.
마지막으로 살펴본 것을 떠올리면, 여기서는 outer 함수의 LexicalEnvironment에 속하는 것 중 변수 a가 대상에서 제외되었다.
이처럼 함수의 실행 컨텍스트가 종료된 후 LexicalEnvironment가 가비지 컬렉터의 수집 대상에서 제외되는 경우는 지역변수를 참조하는 내부함수가 외부로 전달된 경우가 유일하다.
"어떤 함수에서 선언한 변수를 참조하는 내부함수에서만 발생하는 현상"이란 "외부 함수의 LexicalEnvironment가 가비지 컬렉팅되지 않는 현상"을 의미한다.
이를 바탕으로 정의를 고쳐보면 아래와 같다.
클로저란 어떤 함수 A에서 선언한 변수 a를 참조하는 내부함수 B를 외부로 전달할 경우 A의 실행 컨텍스트가 종료된 이후에도 변수 a가 사라지지 않는 현상

위의 개념을 가진 상태로 도식도를 다시 보자.
이제는 이해가 되는가?
주의사항
외부로의 전달이 과연
return만을 의미하는가?
코드로 살펴보자.
별도의 외부 객체인 DOM의 메서드(addEventListener)에 등록할 handler 함수 내부에서 지역변수를 참조한다.
두 상황 모두 지역변수를 참조하는 내부함수를 외부에 전달했기 때문에 클로저이다.